Home
Über mich
Publikationen / Patente
Photos
Meine Links
 
© webmaster 

    25.12.2021

 
 
           Impressum
           Datenschutz 

 

Tetrahedron Letters
Volume 33, Issue 32
4 August 1992
Pages 4549-4552

PII: S0040-4039(00)61309-6
Copyright © 1992 Published by Elsevier Science Ltd. All rights reserved.

C2-symmetric phosphinic acid inhibitors of HIV protease

Anusch Peyman *, Karl-Heinz Budt, Jörg Spanig, Bernd Stowasser and Dieter Ruppert

Hoechst AG, Pharma Forschung G838, 6230 Frankfurt 80, FRG

Received 15 April 1992.  Available online 5 March 2001.

Abstract

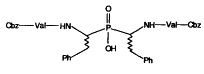
The synthesis of the previously not accessible symmetrical bis(a-aminoalkyl)phosphinic acids is demonstrated. These compounds are valuable central building blocks in the synthesis of HIV protease inhibitors.

Graphical Abstract

Symmetrical bis(a-aminoalkyl)phosphinic acids are valuable central building blocks in the synthesis of HIV protease inhibitors. 




 

References

H. Mitsuya, R. Yarchoan and S. Broder Science 249 (1990), p. 1533. 
A.G. Tomasselli, W.J. Howe, A. Wlodawer and R.L. Heinrikson Chimicaoggi 1991 (May 6¯27).D.W. Norbeck and D.J. Kempf Ann. Rep. Med. Chem. 26 (1991), p. 141.

N.E. Kohl, E.A. Emini, W.A. Schleif, L.J. Davis, J.C. Heimbach, R.A.F. Dixon, E.M. Scolnick and I.S. Sigal Proc. Natl. Acad. Sci. USA 85 (1988), p. 4686. 

A. Wlodawer, M. Miller, M. Jaskolski, B.K. Sathyanarayana, E. Baldwin, I.T. Weber, L.M. Selk, L. Clawson, J. Schneider and S.B.H. Kent Science 245 (1989), p. 616. 

a. K.-H. Budt, A. Peyman, EP 0435059, 1990.
b. K.-H. Budt, J. Knolle, C. Meichsner, D. Ruppert, B. Stowasser, I. Winkler, A. Paessens, J. Hansen, EP 0428849A2 1990.

J. Erickson, D.J. Neidhart, J. VanDrie, D.J. Kempf, X.C. Wang, D.W. Norbeck, J.J. Plattner, J.W. Rittenhouse, M. Turon, N. Wideburg, W.E. Kohlbrenner, R. Simmer, R. Helfrich, D.A. Paul and M. Knigge Science 249 (1990), p. 527. 

D.J. Kempf, D.W. Norbeck, L. Codacovi, X.C. Wang, W.E. Kohlbrenner, N.E. Wideburg, D.A. Paul, M.F. Knigge, S. Vasavonda, A. Craig-Kennard, A. Saldivar, W. Rosenbrocok, Jr., J.J. Clement, J.J. Plattner and J. Erickson J. Med. Chem. 33 (1990), p. 2687. 

R. Wolfenden Ann. Rev. Biophys. Bioeng. 5 (1976), p. 271.
P.A. Bartlett and L.A. Landen Bioorg. Chem. 14 (1986), p. 356.
J. Fastrez, L. Jespers, D. Lison, M. Renard and E. Sonveaux Tetrahedron Lett. 30 (1989), p. 6861. 
P.A. Bartlett and W.B. Keezer J. Am. Chem. Soc. 106 (1984), p. 4282. 
J.E. Hanson, A.P. Kaplan and P.A. Bartlett Biochem. 28 (1989), p. 6294. 
P.A. Bartlett and C.K. Marlowe Science 235 (1987), p. 569. 

D. Grobelny, E.M. Wondrak, R.E. Galardy and S. Oroszlan Biochem. Biophys. Res. Commun. 169 (1990), p. 1111. 

L. Maier J. Organomet. Chem. 178 (1979), p. 157.

L. Maier, DE 2805074A1.

For an alternative synthesis see also: R. Kober, R. Seele, W. Steglich, T. Schrader, DE 3824961A1.

R. Tyka, G. Hägele and R. Bötzel Phosphorous, Sulfur and Silicon 62 (1991), p. 75

J.P. Genet, J. Uziel, M. Port, A.M. Touzin, S. Roland, S. Thorimbert and S. Tanier Tetrahedron Lett. 33 (1992), p. 77 and literature cited therein . 

J.P. Genet, J. Uziel, A.M. Touzin and S. Juge Synthesis (1990), p. 41. 
U. Groth, L. Richter and U. Schöllkopf Tetrahedron 48 (1992), p. 117. 
U. Schöllkopf and R. Schütze Liebigs Ann. Chem. (1987), p. 45.

TOTU: O-[(ethoxycarbonyl)cyanomethylenaminol-N,N,N',N'-tetramethyluronium tetrafluoroborate; W. König, G. Breipohl, P. Pokorny and M. Birkner In: E. Giralt and D. Andreu, Editors, Proceedings of the 21st European Peptide Symposium, ESCOM, Leiden (1990), p. S. 143.

G. Breipohl, S. Henke, W. König and K. Mölling EPA 0373576 (1989) 16) IC50: inhibitor concentration reducing the enzyme activity to 50%. .



Software and compilation © 2001 ScienceDirect. All rights reserved.
ScienceDirect® is an Elsevier Science B.V. registered trademark.