Home
Über mich
Publikationen / Patente
Photos
Meine Links
 
© webmaster 

    25.12.2021

 
 
          Impressum
          Datenschutz 
Tetrahedron
Volume 48, Issue 27
1992
Pages 5579-5586

PII: S0040-4020(01)90135-8
Copyright © 1992 Published by Elsevier Science Ltd. All rights reserved.

Investigation of the diastereofacial selectivity of the addition of 1-metalated (E)- and (Z)-hept-1-enes to the COREY aldehyde - a comparison between vinyllithium and vinyltitanium compounds*1, *2

H. Schick, *, J. Spanig, R. Mahrwald, M. Bohle and T. Reiher

K. K. Pivnitsky

Central Institute of Organic Chemistry, Rudower Chaussee 5, D(0)-1199 Berlin-Adlershof, Federal Republic of Germany
All-Russian Endocrinological Scientific Centre of the Russian Academy of Medical Sciences, Institute of Experimental Endocrinology, ul. Moskvorech'e 1, 115 522 Moscow, Russia

Received 3 February 1992.  Available online 8 March 2001.

Abstract

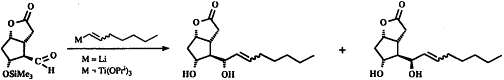
In connection with the synthesis of prostaglandin intermediates a comparison of the addition of (Z)- and (E)-hept-1-enyllithium and (Z)- and (E)-hept-1-enyltitanium triisopropoxide to the COREY aldehyde revealed that the lithium compounds are preferentially added by a si-attack, the titanium compounds, however, by a preferred re-attack. The diastereoselectivity of the lithium compounds was generally better than that of the titanium analogues. This result is explained by assuming a different chelation tendency of the metals. Molecular mechanics calculations support this interpretation.

Graphical Abstract

Vinyllithium compounds add with higher diastereoselectivity to the COREY aldehyde than the corresponding vinyltitanium compounds affording intermediates for (15R)-prostaglandins:




 

References

P.A. Grieco, T. Takigawa, S.L. Bongers and H. Tanaka J. Am. Chem. Soc. 102 (1980), pp. 7587¯7588. 

R. Mahrwald, F. Theil, V.I. Mel'nikova, H. Schick and K.K. Pivnitsky Zh. Org. Khim. 22 (1986), pp. 1647¯1656.

U. Hofmann, C.O. Meese, M. Hecker and V. Ullrich Tetrahedron Lett. 28 (1987), pp. 5655¯5658. 

S.J. Danishefsky, M.P. Cabal and K. Chow J. Am. Chem. Soc. 111 (1989), pp. 3456¯3457. 

M.A. Djadchenko, K.K. Pivnitsky, R. Mahrwald and H. Schick J. Prakt. Chem. 332 (1990), pp. 737¯747. 

R. Mahrwald, H. Schick, K.K. Pivnitsky and S. Schwarz J. Prakt. Chem. 332 (1990), pp. 403¯413. 

H.C. Brown, C.D. Blue, D.J. Nelson and N.G. Bhat J. Org. Chem. 54 (1989), pp. 6064¯6067. 

G. Zweifel and C.C. Whitney J. Am. Chem. Soc. 89 (1967), pp. 2753¯2754.

G.A. Tolstikov, M.S. Miftakhov, M.E. Adler, N.G. Komissarova, O.M. Kuznetzov and N.S. Vostrikov Synthesis (1989), pp. 940¯942. 

R. Mahrwald, F. Theil, H. Schick, H.-J. Palme, H. Nowak, G. Weber and S. Schwarz Synthesis (1987), pp. 1012¯1013. 

R.W. Hoffmann and U. Weidmann Chem. Ber. 111 (1985), pp. 3980¯3992. 

D. Seebach Angew. Chem. 100 (1988), pp. 1685¯1715. 
D. Seebach Angew. Chem. Int. Ed. Engl. 27 (1988), pp. 1624¯1654.

M.T. Reetz, I. Westermann, R. Steinbach, B. Wenderoth, R. Peter, R. Ostarek and S. Maus Chem. Ber. 118 (1985), pp. 1421¯1440. 

R.K. Boeckman and K.J. O'Connor Tetrahedron Lett. 30 (1989), pp. 3271¯3274. 

D.J. Cram and F.A. Abd Elhafez J. Am. Chem. Soc. 74 (1952), pp. 5828¯5835.

N.T. Anh Topics Curr. Chem. 88 (1980), pp. 145¯162.

The molecular modelling programme PCMODEL, Version 4.0, based on the force field MMX was used for the calculations. Serena Software, Box 3076, Bloomington, Indiana 47402-3076.

M.T. Reetz, R. Steinbach, J. Westermann, R. Peter and B. Wenderoth Chem. Ber. 118 (1985), pp. 1441¯1454. 

W.C. Still, M. Kahn and A. Mitra J. Org. Chem. 43 (1978), pp. 2923¯2925.

M.T. Reetz and R. Peter Tetrahedron Lett. 22 (1981), pp. 4691¯4694. 

*1 Prostaglandins and Prostaglandin Intermediates, 28. For part 27 see ref. 7.

*2 Part of the Thesis of J. Spanig, Friedrich-Schiller-Universität Jena, 1991.



Software and compilation © 2001 ScienceDirect. All rights reserved.
ScienceDirect® is an Elsevier Science B.V. registered trademark.